Table of Contents
Free Printable Living Will Form Tennessee – A living will form free printable is a document that explains what types of treatment and treatment you wish to get when you’re not qualified to discuss it. That’s why the document can perhaps bring a calm mind to on your own and also your liked ones. Nearly everybody can conveniently produce one, particularly by using a practical Free Printable Living Will Form Tennessee and also leave their wishes on the treatment they desire (or don’t desire) to obtain.
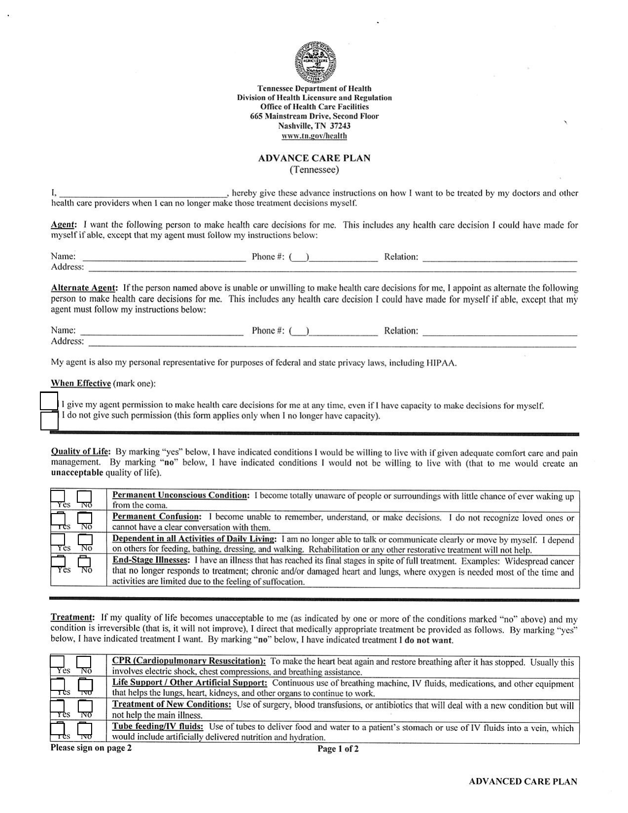
What is Living Will Form?
A living will is a legally-binding document that outlines somebody’s dreams as well as choices concerning their health care treatment. This document specifies as well as discusses to the physicians or physician regarding which treatment and also therapy to finish a life or sustain that you as the proprietor want to obtain and which that you do not want to– when you’re no more capable to interact regarding your choices as a result of some factors such as being less competent or falling into a coma. The document defines clear guidelines regarding how you want to be dealt with in times of emergency for other individuals, including your member of the family.
Some examples of the dreams associated with health as well as life support are medical and surgical therapies, mechanical ventilation, donation of organs, tube feeding, dialysis treatment, resuscitation.
The Form is similar to Do Not Resuscitate (DNR) documents, but a lot more general due to the fact that it defines greater than permission for doctor to perform life-saving procedures like CPR. The Free Printable Living Will Form Tennessee is entirely various from the last will as well as testimony document that explains exactly how you desire your riches and also residential property to be distributed when you passed away due to the fact that a living will clarify your dreams regarding healthcare while you’re still living.
The Free Printable Living Will Form Tennessee is considered as an breakthrough instruction in the majority of states that permits a medical power of attorney to allow a trusted individual develop clinical decisions on your account. That’s why this document is often referred wellness care regulation, development wellness care instruction, or development medical directive.
The Difference Between Living Will Forms & Advance Directives
A living will or a living depend on is a legally binding document that provides specific instructions to an incapacitated or the seriously sick about the type of medical therapy they desire or do not want to obtain in the event of their special needs or fatality. It is really crucial that a person carry out a Living Will as soon as possible, so it comes to be even more substantial for any person that has been disabled because of severe ailments or in the near future to make a Living Will. As the document is applied, the person is not just putting into effect their own wishes, however also those of their family members, close friends as well as also their company or government departments.
This type of legal document should be performed in the excellent confidence of one’s incapacity, either due to the fact that of a terminal health problem or in the event of one’s fatality. This type of legal document must be implemented in the county where the client resides in every state of the union, also if they don’t live in that state.
is incapacitated or in jeopardy for immediate physical damage or fatality, then there are many options readily available to secure their health and wellness as well as their families. One of those options is executing living wills, which are really similar to the Advance regulation. Nonetheless, while living wills are legal records as well as a Living Will Form can be requested from the court, most people choose to use an Advance instruction that is not a legal document.



