Table of Contents
Kentucky Living Will Directive Form – When you’re not capable to talk concerning it, a living will form free printable is a document that clarifies what types of clinical treatment as well as therapy you desire to obtain. That’s why the document can possibly bring a peaceful mind to yourself as well as your loved ones. Almost every person can easily create one, especially by using a practical Kentucky Living Will Directive Form and leave their desires on the care they desire (or don’t desire) to receive.
What is Living Will Form?
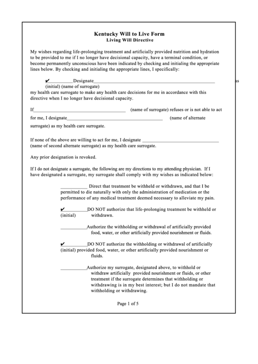
A living will is a legally-binding document that lays out someone’s wishes as well as choices concerning their healthcare therapy. This document describes as well as specifies to the doctors or doctor about which care and treatment to maintain or end a life that you as the proprietor wish to receive and also which that you do not intend to– when you’re no longer qualified to communicate concerning your decisions due to some reasons such as being unresponsive or coming under a coma. The document defines clear guidelines regarding just how you wish to be dealt with in times of emergency for other individuals, including your relative.
Some instances of the wishes connected to health and wellness and life assistance are surgical and medical therapies, mechanical ventilation, contribution of body organs, tube feeding, dialysis treatment, resuscitation.
The Form is similar to Do Not Resuscitate (DNR) documents, but a lot more general since it explains more than authorization for doctor to perform life-saving procedures like MOUTH-TO-MOUTH RESUSCITATION. The Kentucky Living Will Directive Form is entirely different from the last will as well as testament document that clarifies just how you wish your wealth and also property to be dispersed when you passed away since a living will clarify your dreams regarding healthcare while you’re still living.
The Kentucky Living Will Directive Form is taken into consideration as an breakthrough directive in the majority of states that allows a clinical power of attorney to allow a relied on individual create clinical decisions on your account. That’s why this document is often referred wellness treatment regulation, advance health care instruction, or advance medical directive.
The Difference Between Living Will Forms & Advance Directives
A living will or a living trust is a legally binding document that gives details directions to an incapacitated or the seriously unwell concerning the type of medical treatment they desire or do not wish to get in case of their disability or fatality. It is really essential that a person execute a Living Will as soon as possible, so it ends up being all the more considerable for any person that has been crippled due to significant diseases or in the near future to make a Living Will. As the document is executed, the person is not only putting into effect their own desires, yet additionally those of their household, friends and also also their company or federal government departments.
This kind of legal document have to be carried out in the good faith of one’s inability, either because of a terminal health problem or in the event of one’s fatality. The factor for executing it is to prevent abuse of power by some doctor and various other people whom one has actually collaborated with. This is likewise required to make sure that no one take advantage of the incapacitated individual. The person has to also make sure that the people near to them, specifically their family, do not make the most of their weakness. This kind of lawful document must be implemented in the area where the person lives in every state of the union, even if they do not live in that state.
If you or somebody you know One of those options is executing living wills, which are extremely similar to the Advance directive. While living wills are legal files and a Living Will Form can be asked for from the court, the majority of people like to make use of an Advance instruction that is not a lawful document.



