Living Will Form Ct – A living will form free printable is a document that describes what kinds of healthcare as well as treatment you wish to get when you’re not qualified to mention it. That’s why the document can potentially bring a peaceful mind to yourself and also your enjoyed ones. Virtually everybody can easily create one, specifically by using a convenient Living Will Form Ct as well as leave their wishes on the care they desire (or don’t desire) to receive.
What is Living Will Form?
A living will is a legally-binding document that sets out a person’s dreams and also choices regarding their medical care therapy. This document defines and also describes to the medical professionals or physician regarding which care and also therapy to end a life or sustain that you as the owner wish to get as well as which that you do not wish to– when you’re no longer qualified to interact regarding your choices because of some factors such as being less competent or falling into a coma. The document defines clear directions concerning how you want to be looked after in times of emergency situation for various other individuals, including your family members.
Some instances of the dreams connected to wellness and also life assistance are medical and surgical therapies, mechanical ventilation, donation of organs, tube feeding, dialysis procedure, resuscitation.
The Form is similar to Do Not Resuscitate (DNR) files, yet more basic since it explains more than permission for doctor to perform life-saving treatments like CPR. The Living Will Form Ct is completely various from the last will as well as testament document that describes exactly how you want your wide range and also building to be distributed when you died due to the fact that a living will clarify your desires concerning medical care while you’re still living.
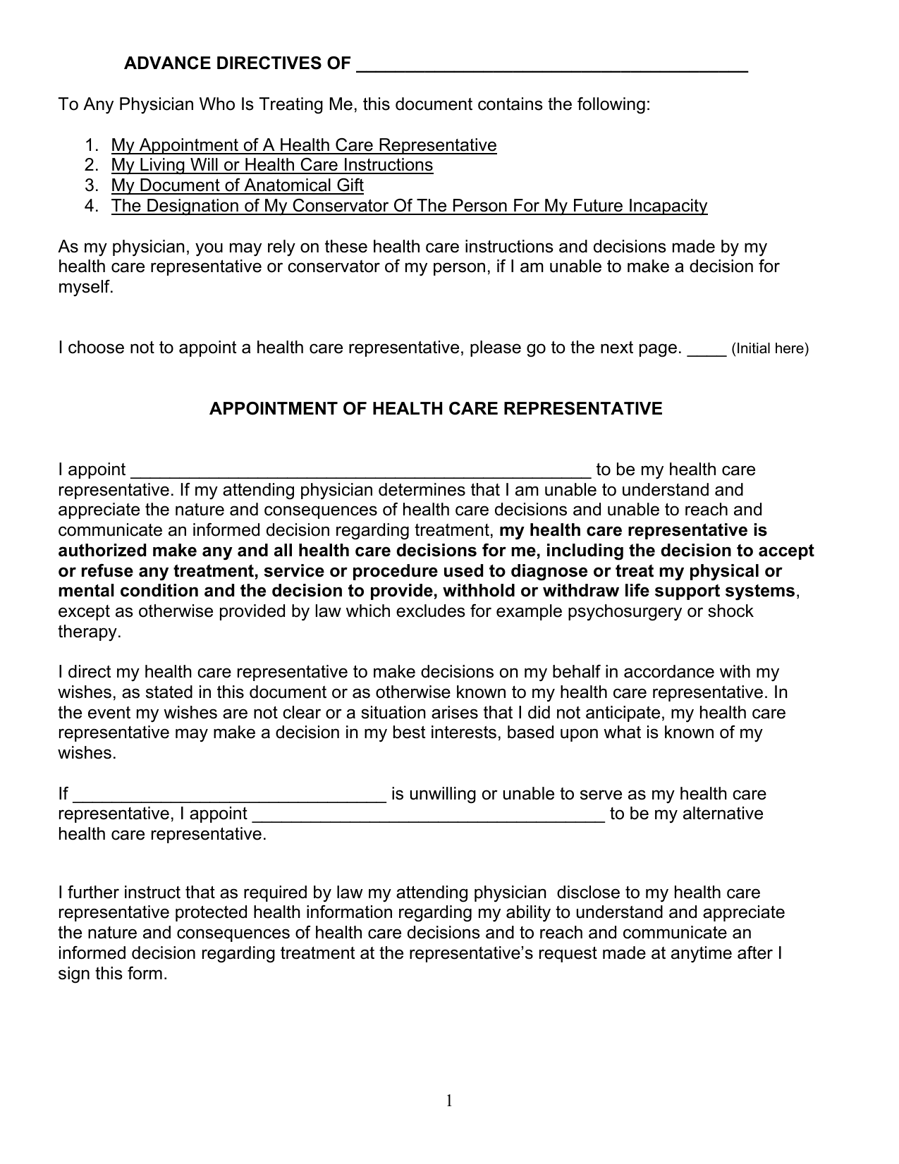
The Living Will Form Ct is taken into consideration as an advance directive in the majority of states that allows a medical power of attorney to allow a trusted individual produce medical determinations on your account. That’s why this document is occasionally referred wellness care regulation, breakthrough health care directive, or development medical directive.
The Difference Between Living Will Forms & Advance Directives
A living will or a living trust is a lawfully binding document that provides details instructions to an incapacitated or the seriously unwell about the kind of medical treatment they want or do not intend to receive in the event of their special needs or death. It is very important that a individual execute a Living Will immediately, so it ends up being even more significant for any individual who has been disarmed due to major diseases or in the future to make a Living Will. As the document is applied, the person is not only enforcing their own dreams, but additionally those of their family, close friends and also also their company or government divisions.
This type of legal document have to be carried out in the great confidence of one’s incapacity, either because of a incurable health problem or in the event of one’s death. This kind of legal document have to be performed in the region where the patient resides in every state of the union, even if they do not live in that state.
is crippled or at risk for instant physical injury or fatality, then there are many alternatives available to secure their wellness and also their families. One of those alternatives is implementing living wills, which are really similar to the Advance instruction. While living wills are legal records as well as a Living Will Form can be requested from the court, the majority of individuals choose to make use of an Advance directive that is not a legal document.
Living Will Form Ct
Download Connecticut Living Will Form Advance Directive
Free Living Will Forms Templates Advance Directive
Living Will Form Pa Edit Fill Sign Online Handypdf
Connecticut Living Will Form Advance Directive Living
Living Will Forms Free Printable Downloads
[embeddoc url=”https://living-will-forms.com/wp-content/uploads/2021/03/Living-Will-Forms-Free-Printable.pdf” download=”all” viewer=”browser” text=”Living Will Forms Free Printable”][su_button url=”https://living-will-forms.com/wp-content/uploads/2021/03/Living-Will-Forms-Free-Printable.pdf” target=”blank” wide=”yes” center=”yes”]Download Living Will Forms Free Printable (.PDF)[/su_button][embeddoc url=”https://living-will-forms.com/wp-content/uploads/2021/03/Living-Will-Forms-Free.pdf” download=”all” viewer=”browser” text=”Living Will Forms Free Printable”][su_button url=”https://living-will-forms.com/wp-content/uploads/2021/03/Living-Will-Forms-Free.pdf” target=”blank” wide=”yes” center=”yes”]Download Living Will Forms Free Printable (.PDF)[/su_button][embeddoc url=”https://living-will-forms.com/wp-content/uploads/2021/03/Living-Will-Forms-Printable.pdf” download=”all” viewer=”browser” text=”Living Will Forms Free Printable”][su_button url=”https://living-will-forms.com/wp-content/uploads/2021/03/Living-Will-Forms-Printable.pdf” target=”blank” wide=”yes” center=”yes”]Download Living Will Forms Free Printable (.PDF)[/su_button][embeddoc url=”https://living-will-forms.com/wp-content/uploads/2021/03/Living-Will-Forms.pdf” download=”all” viewer=”browser” text=”Living Will Forms Free Printable”][su_button url=”https://living-will-forms.com/wp-content/uploads/2021/03/Living-Will-Forms.pdf” target=”blank” wide=”yes” center=”yes”]Download Living Will Forms Free Printable (.PDF)[/su_button]




Leave a Reply