Table of Contents
Living Will Forms Ct – When you’re not qualified to speak regarding it, a living will form free printable is a document that clarifies what types of clinical care and treatment you want to get. That’s why the document can possibly bring a serene mind to on your own and also your liked ones. Nearly everyone can easily produce one, specifically by utilizing a convenient Living Will Forms Ct and leave their wishes on the care they desire (or do not want) to obtain.
What is Living Will Form?
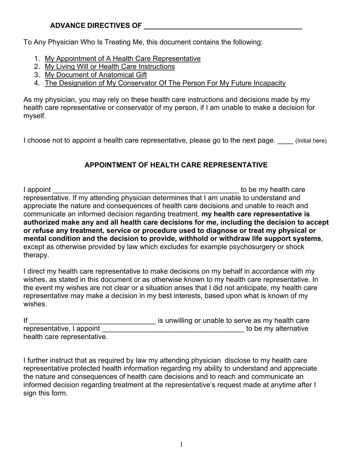
A living will is a legally-binding document that outlines someone’s wishes and also decisions regarding their health care therapy. This document specifies as well as clarifies to the physicians or physician about which care as well as treatment to finish a life or maintain that you as the proprietor wish to get and also which that you do not wish to– when you’re no longer capable to connect about your choices as a result of some factors such as being unresponsive or coming under a coma. The document defines clear guidelines regarding just how you intend to be dealt with in times of emergency for various other individuals, including your relative.
Some instances of the desires connected to health as well as life support are surgical and medical treatments, mechanical air flow, contribution of body organs, tube feeding, dialysis treatment, resuscitation.
The Form is similar to Do Not Resuscitate (DNR) documents, but more basic because it describes greater than authorization for healthcare providers to implement life-saving treatments like CPR. The Living Will Forms Ct is completely various from the last will and testament document that describes exactly how you want your riches and also building to be distributed when you died because a living will clarify your desires relating to treatment while you’re still living.
The Living Will Forms Ct is thought about as an advancement instruction in most states that permits a medical power of attorney to lets a relied on person create clinical determinations on your account. That’s why this document is often referred health care instruction, advance health and wellness treatment directive, or advancement medical directive.
The Difference Between Living Will Forms & Advance Directives
A living will or a living count on is a legally binding document that provides details directions to an incapacitated or the seriously unwell concerning the kind of medical therapy they want or do not want to obtain in the event of their special needs or death. It is very important that a individual implement a Living Will immediately, so it comes to be all the more significant for any individual who has been paralyzed due to serious ailments or in the near future to make a Living Will. As the document is applied, the person is not only executing their very own desires, yet also those of their household, buddies as well as also their company or federal government divisions.
This kind of lawful document have to be carried out in the good faith of one’s inability, either as a result of a incurable health problem or in case of one’s death. The factor for implementing it is to avoid abuse of power by some doctor and also other people whom one has worked with. This is additionally essential to make sure that no person make the most of the incapacitated person. The person should likewise make certain that individuals near them, especially their family, do not benefit from their weak point. This kind of legal document have to be implemented in the region where the individual stays in every state of the union, even if they do not live in that state.
There are many choices readily available to secure their health and wellness and their families if you or somebody you know is immobilized or at threat for prompt physical harm or fatality. One of those options is implementing living wills, which are extremely similar to the Advance directive. However, while living wills are lawful files and also a Living Will Form can be requested from the court, lots of people choose to make use of an Advance regulation that is not a legal document.



