Table of Contents
Living Will Legal Form – A living will form free printable is a document that discusses what types of healthcare and treatment you want to get when you’re not qualified to speak about it. That’s why the document can potentially bring a relaxed mind to on your own as well as your liked ones. Nearly every person can conveniently produce one, specifically by using a practical Living Will Legal Form and leave their wishes on the care they desire (or don’t want) to receive.
What is Living Will Form?
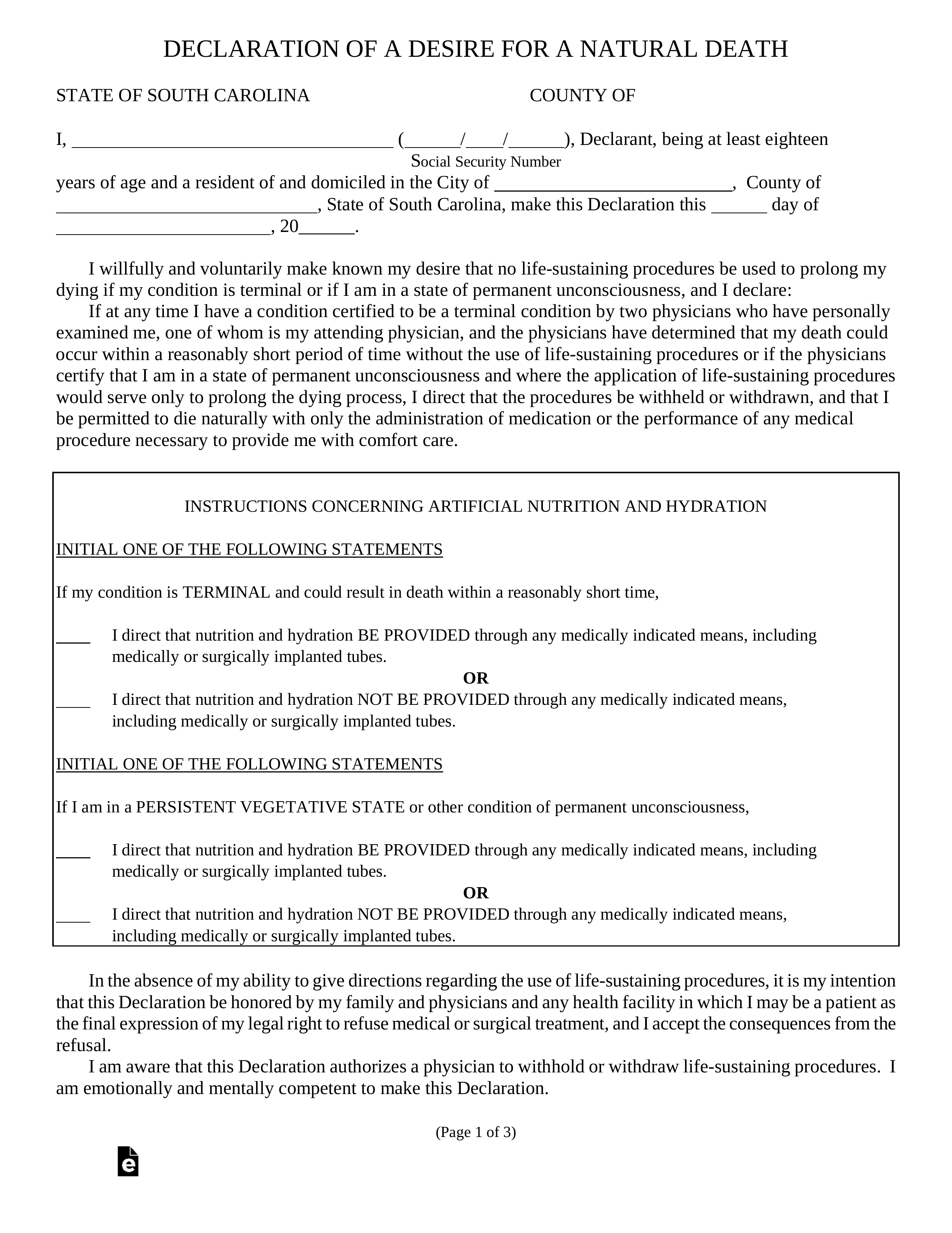
A living will is a legally-binding document that outlines somebody’s dreams and decisions concerning their healthcare therapy. This document defines as well as explains to the doctors or physician regarding which treatment and also therapy to sustain or finish a life that you as the owner intend to get and which that you don’t want to– when you’re no longer capable to connect concerning your choices because of some factors such as being less competent or falling under a coma. The document defines clear guidelines regarding exactly how you want to be looked after in times of emergency situation for other persons, including your relative.
Some examples of the wishes associated with health and also life assistance are medical and surgical therapies, mechanical ventilation, contribution of body organs, tube feeding, dialysis procedure, resuscitation.
The Form is similar to Do Not Resuscitate (DNR) files, however a lot more basic due to the fact that it defines more than permission for doctor to carry out life-saving procedures like MOUTH-TO-MOUTH RESUSCITATION. The Living Will Legal Form is totally various from the last will and testimony document that clarifies how you wish your wealth and building to be distributed when you passed away because a living will clarify your wishes pertaining to healthcare while you’re still living.
The Living Will Legal Form is taken into consideration as an advance directive in most states that permits a clinical power of attorney to allow a trusted person create clinical determinations on your account. That’s why this document is sometimes referred health care regulation, breakthrough healthcare directive, or development medical directive too.
The Difference Between Living Will Forms & Advance Directives
A living will or a living trust fund is a legally binding document that supplies specific guidelines to an incapacitated or the seriously ill about the kind of clinical therapy they desire or do not want to obtain in case of their special needs or fatality. It is extremely vital that a person perform a Living Will asap, so it comes to be all the more substantial for any person that has actually been paralyzed because of serious illnesses or in the near future to make a Living Will. As the document is implemented, the individual is not just enforcing their own dreams, yet also those of their family, close friends and also also their company or federal government divisions.
This type of lawful document need to be executed in the good faith of one’s inability, either because of a terminal health problem or in the event of one’s death. The reason for implementing it is to avoid abuse of power by some healthcare providers and also other individuals whom one has actually worked with. This is additionally required to make certain that no person make use of the incapacitated person. The person must likewise make certain that the people close to them, particularly their family, do not make use of their weak point. This kind of lawful document must be implemented in the county where the patient stays in every state of the union, even if they don’t reside in that state.
There are several choices available to protect their health and also their households if you or a person you recognize is paralyzed or at danger for immediate bodily harm or death. Among those options is implementing living wills, which are really similar to the Advance regulation. Nonetheless, while living wills are legal documents and a Living Will Form can be requested from the court, many people prefer to use an Advance directive that is not a legal document.



