Table of Contents
Living Will Tennessee Free Form – A living will form free printable is a document that clarifies what types of medical care and also therapy you wish to obtain when you’re not capable to speak about it. That’s why the document can possibly bring a tranquil mind to on your own and also your loved ones. Almost every person can quickly produce one, especially by using a convenient Living Will Tennessee Free Form as well as leave their wishes on the care they want (or do not desire) to obtain.
What is Living Will Form?
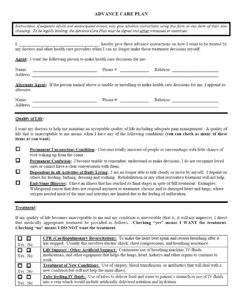
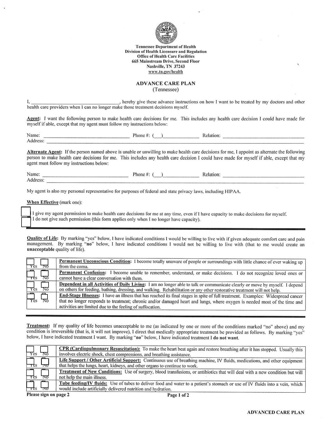
A living will is a legally-binding document that lays out someone’s wishes and also choices regarding their health care treatment. This document specifies as well as clarifies to the physicians or medical professional about which care and treatment to sustain or end a life that you as the proprietor wish to obtain and also which that you don’t wish to– when you’re no more capable to interact concerning your choices as a result of some factors such as being unresponsive or coming under a coma. The document specifies clear directions concerning just how you want to be cared for in times of emergency for various other persons, including your family members.
Some instances of the wishes connected to wellness and life assistance are surgical and medical therapies, mechanical ventilation, donation of organs, tube feeding, dialysis procedure, resuscitation.
The Form resembles Do Not Resuscitate (DNR) files, but much more basic because it defines more than permission for healthcare providers to execute life-saving treatments like CPR. The Living Will Tennessee Free Form is totally different from the last will as well as testament document that describes just how you want your riches and also residential property to be distributed when you passed away due to the fact that a living will clarify your dreams regarding treatment while you’re still living.
The Living Will Tennessee Free Form is thought about as an breakthrough directive in most states that allows a clinical power of attorney to allow a relied on person produce medical decisions on your account. That’s why this document is sometimes referred healthcare instruction, advancement health care regulation, or advance medical directive also.
The Difference Between Living Will Forms & Advance Directives
A living will or a living depend on is a legitimately binding document that provides certain directions to an incapacitated or the seriously unwell concerning the type of clinical treatment they desire or do not want to get in the event of their special needs or death. It is really important that a individual implement a Living Will immediately, so it becomes even more substantial for anybody that has actually been crippled because of serious health problems or in the near future to make a Living Will. As the document is applied, the individual is not only putting into effect their own desires, yet additionally those of their family, buddies and also their employer or federal government departments.
This type of legal document need to be implemented in the good faith of one’s incapacity, either as a result of a incurable health problem or in case of one’s fatality. The factor for performing it is to avoid abuse of power by some doctor as well as other individuals whom one has dealt with. This is likewise required to make sure that no person take advantage of the incapacitated person. The individual should additionally ensure that the people close to them, specifically their family, do not benefit from their weakness. This kind of legal document need to be performed in the area where the individual resides in every state of the union, even if they don’t live in that state.
If you or someone you know Among those options is carrying out living wills, which are really comparable to the Advance directive. While living wills are legal documents and also a Living Will Form can be requested from the court, a lot of individuals favor to make use of an Advance instruction that is not a legal document.



