Table of Contents
Living Will Template Tennessee – When you’re not qualified to speak concerning it, a living will form free printable is a document that discusses what types of medical care as well as treatment you desire to get. That’s why the document can perhaps bring a peaceful mind to on your own and your loved ones. Nearly everyone can conveniently produce one, particularly by utilizing a hassle-free Living Will Template Tennessee as well as leave their desires on the treatment they want (or don’t desire) to obtain.
What is Living Will Form?
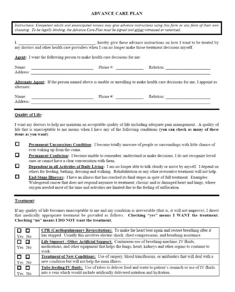
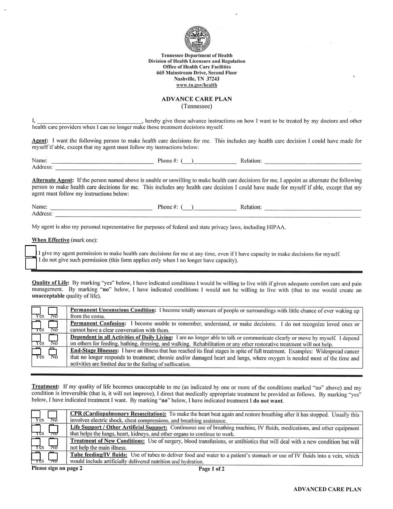
A living will is a legally-binding document that outlines someone’s choices as well as desires concerning their medical care treatment. This document discusses and defines to the medical professionals or doctor regarding which treatment and also therapy to end a life or sustain that you as the owner intend to receive and also which that you do not intend to– when you’re no more capable to connect concerning your decisions due to some factors such as being unresponsive or falling into a coma. The document defines clear directions about just how you wish to be looked after in times of emergency for various other individuals, including your family members.
Some instances of the wishes related to health and life assistance are medical and surgical treatments, mechanical ventilation, contribution of organs, tube feeding, dialysis treatment, resuscitation.
The Form is similar to Do Not Resuscitate (DNR) papers, however much more basic because it explains more than consent for healthcare providers to carry out life-saving treatments like MOUTH-TO-MOUTH RESUSCITATION. The Living Will Template Tennessee is completely various from the last will and testament document that discusses just how you desire your wide range and also property to be distributed when you passed away due to the fact that a living will clarify your wishes relating to treatment while you’re still living.
The Living Will Template Tennessee is thought about as an advance regulation in the majority of states that permits a medical power of attorney to lets a trusted individual create medical resolutions on your account. That’s why this document is occasionally referred healthcare regulation, development healthcare regulation, or development medical directive too.
The Difference Between Living Will Forms & Advance Directives
A living will or a living depend on is a legally binding document that provides details directions to an incapacitated or the seriously unwell regarding the kind of clinical treatment they want or do not want to obtain in the event of their disability or fatality. It is extremely vital that a person carry out a Living Will as soon as possible, so it ends up being all the more significant for any person who has actually been immobilized due to significant ailments or in the near future to make a Living Will. As the document is executed, the individual is not just implementing their very own wishes, but additionally those of their family, close friends and even their employer or federal government departments.
This type of lawful document need to be executed in the great belief of one’s inability, either because of a terminal health problem or in the occasion of one’s fatality. This type of legal document need to be carried out in the area where the person lives in every state of the union, also if they don’t live in that state.
If you or somebody you know One of those choices is implementing living wills, which are very similar to the Advance instruction. While living wills are lawful records as well as a Living Will Form can be asked for from the court, the majority of individuals like to use an Advance instruction that is not a legal document.



