Table of Contents
Printable Living Will Form Tennessee – A living will form free printable is a document that explains what types of healthcare as well as treatment you intend to get when you’re not qualified to discuss it. That’s why the document can potentially bring a peaceful mind to on your own and your loved ones. Virtually every person can conveniently develop one, specifically by utilizing a hassle-free Printable Living Will Form Tennessee and leave their dreams on the treatment they want (or do not desire) to obtain.
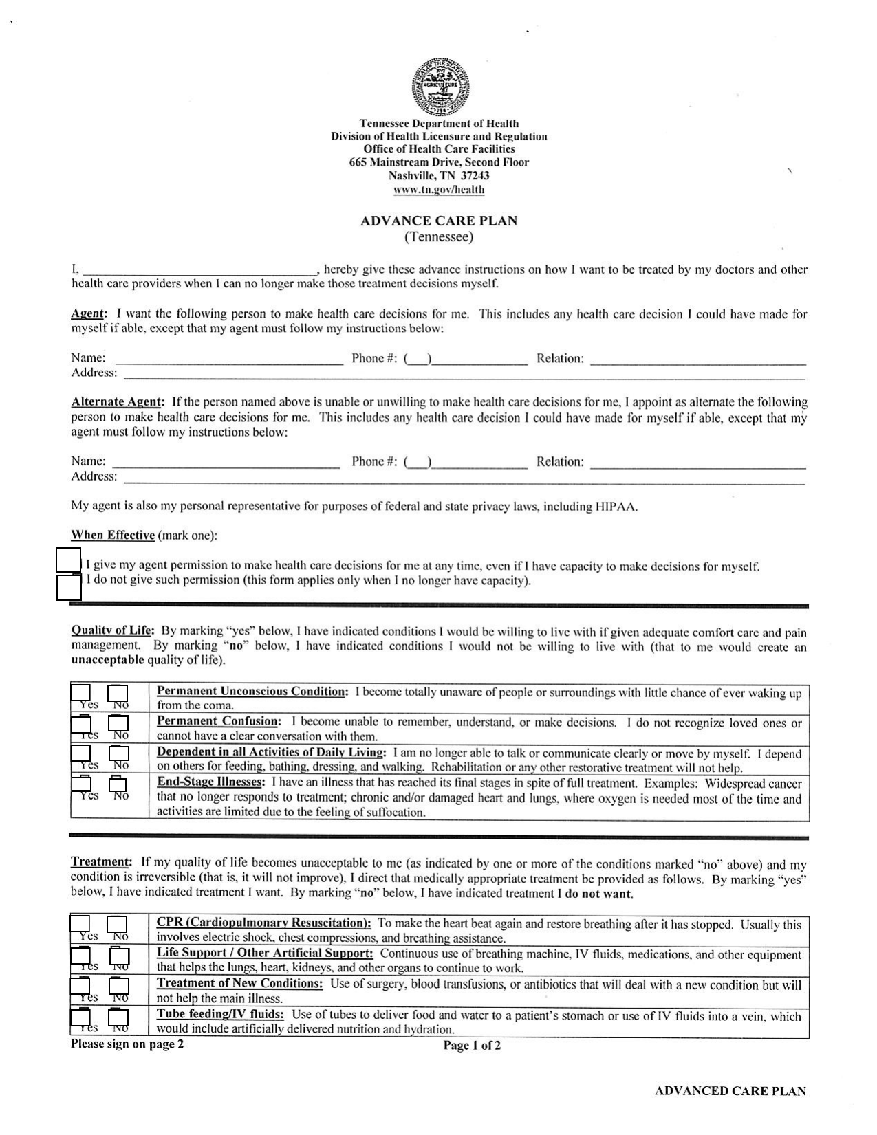
What is Living Will Form?
A living will is a legally-binding document that lays out a person’s desires and also choices regarding their healthcare therapy. This document explains and defines to the physicians or medical professional concerning which treatment and also therapy to finish a life or maintain that you as the proprietor want to receive and also which that you do not wish to– when you’re no longer qualified to connect about your choices due to some reasons such as being less competent or falling into a coma. The document specifies clear directions concerning how you wish to be taken care of in times of emergency for various other persons, including your family members.
Some examples of the wishes connected to health and wellness and life support are surgical and medical treatments, mechanical ventilation, donation of organs, tube feeding, dialysis treatment, resuscitation.
The Form resembles Do Not Resuscitate (DNR) files, but extra basic since it explains more than permission for doctor to execute life-saving procedures like CPR. The Printable Living Will Form Tennessee is totally different from the last will and testament document that describes exactly how you wish your riches as well as home to be distributed when you died since a living will clarify your dreams relating to medical care while you’re still living.
The Printable Living Will Form Tennessee is taken into consideration as an breakthrough directive in the majority of states that permits a clinical power of attorney to lets a trusted person create clinical determinations on your account. That’s why this document is in some cases referred healthcare directive, advancement health care regulation, or breakthrough medical directive too.
The Difference Between Living Will Forms & Advance Directives
A living will or a living count on is a legally binding document that provides specific guidelines to an incapacitated or the seriously unwell regarding the type of medical therapy they desire or do not wish to receive in case of their impairment or fatality. It is really vital that a person perform a Living Will asap, so it comes to be all the more significant for anyone that has been immobilized because of severe illnesses or in the near future to make a Living Will. As the document is implemented, the individual is not only enforcing their own dreams, however likewise those of their household, buddies as well as even their employer or government divisions.
This kind of legal document have to be executed in the good belief of one’s incapacity, either due to the fact that of a incurable illness or in the occasion of one’s fatality. This kind of legal document should be carried out in the area where the person stays in every state of the union, even if they don’t live in that state.
is paralyzed or at risk for instant bodily injury or death, after that there are numerous choices offered to protect their health and also their family members. Among those choices is executing living wills, which are extremely comparable to the Advance directive. While living wills are legal documents as well as a Living Will Form can be requested from the court, most people choose to make use of an Advance instruction that is not a legal document.



